某港口工程,基岩为页岩,试验测得其风化岩体纵波速度为2.5km/s,风化岩块纵波速度为3.2km/s,新鲜岩体纵波速度为5.6km/s。根据《港口岩土工程...

作者: tihaiku 人气: - 评论: 0
问题 某港口工程,基岩为页岩,试验测得其风化岩体纵波速度为2.5km/s,风化岩块纵波速度为3.2km/s,新鲜岩体纵波速度为5.6km/s。根据《港口岩土工程勘察规范》(JTS 133-1-2010)判断,该基岩的风化程度(按波速风化折减系数评价)和完整程度分类为下列哪个选项?(  )
选项 A、中等风化、较破碎 B、中等风化、较完整 C、强风化、较完整 D、强风化、较破碎
答案 B
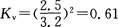
解析 根据《港口岩土工程勘察规范》(JTS 133-1-2010)附录A,计算如下: ①波速风化折减系数为风化岩体纵波波速与新鲜岩体纵波波速之比: 页岩属软质岩石,查表A.0.1-2可知,该基岩属中等风化。 根据第4.1.3.2条式(4.1.3-2),该岩体完整性指数为: 根据第4.1.2条的表4.1.2-3岩体完整程度分类确定,该基岩属较完整岩体。

相关内容:港口,工程,基岩,页岩,试验,风化,岩体,纵波,速度,岩块,根据,岩土工程

发表评论
更多 网友评论0 条评论)
暂无评论

访问排行

Copyright © 2012-2014 题库网 Inc. 保留所有权利。 Powered by tikuer.com

页面耗时0.0293秒, 内存占用1.05 MB, Cache:redis,访问数据库20次