某场地为Ⅱ类建筑场地,位于8度烈度区,设计基本地震加速度为0.30 g,设计地震分组为第二组,建筑物自震周期为1.6 s,阻尼比为0.05,多遇地震条件下...

作者: tihaiku 人气: - 评论: 0
问题 某场地为Ⅱ类建筑场地,位于8度烈度区,设计基本地震加速度为0.30 g,设计地震分组为第二组,建筑物自震周期为1.6 s,阻尼比为0.05,多遇地震条件下该建筑结构的地震影响系数为( )。
选项 A 0.04 B 0.05 C 0.06 D 0.07
答案 D
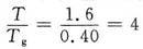
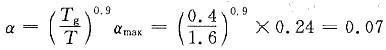
解析 Tg=0.40gTg<T<5Tg 地震影响系数曲线为曲线下降段,(ζ=0.05)αmax=0.24

相关内容:场地,建筑,烈度区,设计,地震,加速度,分组,建筑物,自震,周期,阻尼,多遇

猜你喜欢

发表评论
更多 网友评论0 条评论)
暂无评论

访问排行

Copyright © 2012-2014 题库网 Inc. 保留所有权利。 Powered by tikuer.com

页面耗时0.0332秒, 内存占用1.05 MB, Cache:redis,访问数据库18次