某仓库外墙采用条形砖基础,墙厚240mm,基础埋深2.0m,已知作用于基础顶面标高处的上部结构荷载标准组合值为240kN/m。地基为人工压实填上,承载力特...

作者: tihaiku 人气: - 评论: 0
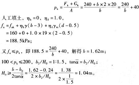
问题 某仓库外墙采用条形砖基础,墙厚240mm,基础埋深2.0m,已知作用于基础顶面标高处的上部结构荷载标准组合值为240kN/m。地基为人工压实填上,承载力特征值为160kPa,重度19kN/m3。按照现行《建筑地基基础设计规范》,基础最小高度最接近下列哪个选项的数值?( ) A. 0.5m B. 0.6m C. 0.7m D. 1. 1m
选项
答案 D
解析 根据《建筑地基基础设计规范》(GB 50007—2002)第5. 2. 2条和第8. 1. 2条,基底平均压力:

相关内容:仓库,外墙,条形,基础,墙厚,埋深,顶面,高处,结构,荷载,标准,组合,地基,人工,力特

猜你喜欢

发表评论
更多 网友评论0 条评论)
暂无评论

访问排行

Copyright © 2012-2014 题库网 Inc. 保留所有权利。 Powered by tikuer.com

页面耗时0.0260秒, 内存占用1.04 MB, Cache:redis,访问数据库17次