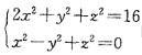
母线平行于x轴且通过曲线的柱面方程是下列哪个方程? A.椭圆柱面3x2+2z2= 16 B.椭圆柱面x2+2y2= 16 C.双曲柱面3y2-z2= ...

作者: tihaiku 人气: - 评论: 0
问题 母线平行于x轴且通过曲线的柱面方程是下列哪个方程? A.椭圆柱面3x2+2z2= 16 B.椭圆柱面x2+2y2= 16 C.双曲柱面3y2-z2= 16 D.抛物柱面3y2-z=16
选项
答案 C
解析 提示:方程组消x得到的方程为空间曲线在yOz平面上投影柱面。

相关内容:母线,轴且,曲线,方程,圆柱面,3x2+2z2,x2+2y2,3y2-z2

猜你喜欢

发表评论
更多 网友评论0 条评论)
暂无评论

Copyright © 2012-2014 题库网 Inc. 保留所有权利。 Powered by tikuer.com

页面耗时0.0292秒, 内存占用1.04 MB, Cache:redis,访问数据库19次