方程xy-ex+ey=0确定的函数y=y(x)的导数为( )。

作者: tihaiku 人气: - 评论: 0
问题 方程xy-ex+ey=0确定的函数y=y(x)的导数为( )。
选项
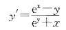
答案 B
解析 由隐函数的求导法,方程xy-ex+ey=0的两端对x求导,y是x的函数y+xy'-ex+ey·y'=0 解得

猜你喜欢

发表评论
更多 网友评论0 条评论)
暂无评论

Copyright © 2012-2014 题库网 Inc. 保留所有权利。 Powered by tikuer.com

页面耗时0.0344秒, 内存占用1.04 MB, Cache:redis,访问数据库19次