满足方程3yy′=1,y|x=0=0的解是(  )。

作者: tihaiku 人气: - 评论: 0
问题 满足方程3yy′=1,y|x=0=0的解是(  )。
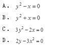
选项
答案 C
解析 原方程可整理得

猜你喜欢

发表评论
更多 网友评论0 条评论)
暂无评论

Copyright © 2012-2014 题库网 Inc. 保留所有权利。 Powered by tikuer.com

页面耗时0.0395秒, 内存占用1.03 MB, Cache:redis,访问数据库18次