{图}

作者: tihaiku 人气: - 评论: 0
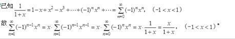
问题 {图}
选项
答案 B
解析
发表评论
更多 网友评论0 条评论)
暂无评论

Copyright © 2012-2014 题库网 Inc. 保留所有权利。 Powered by tikuer.com

页面耗时0.0264秒, 内存占用1.02 MB, Cache:redis,访问数据库18次