下列各式中哪一个正确?

作者: tihaiku 人气: - 评论: 0
问题 下列各式中哪一个正确?
选项
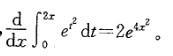
答案 C
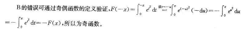
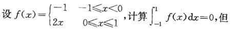
解析 提示:选项D有明显错误,首先排除, 选项A、B可逐一分析排除。 选项A的错误通过举例分析说明, f(x)不是奇函数。 选项C正确,计算如下: 设f(x)=ex2,f(x)在[0,1]上连续,在(0,1),f'(x)=2ex2>0,f(x)在[0,1]上单增,故 fmin (0) = 1,fmax (1) =e

相关内容:

猜你喜欢

发表评论
更多 网友评论0 条评论)
暂无评论

Copyright © 2012-2014 题库网 Inc. 保留所有权利。 Powered by tikuer.com

页面耗时0.0579秒, 内存占用1.04 MB, Cache:redis,访问数据库19次