A. - 2 B.0 C. -1 D. 1

作者: tihaiku 人气: - 评论: 0
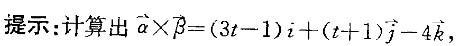
问题 A. - 2 B.0 C. -1 D. 1
选项
答案 C
解析 由已知条件3t-1 = -4,求出t值。

相关内容:

猜你喜欢

发表评论
更多 网友评论0 条评论)
暂无评论

Copyright © 2012-2014 题库网 Inc. 保留所有权利。 Powered by tikuer.com

页面耗时0.0274秒, 内存占用1.04 MB, Cache:redis,访问数据库19次