为确定大豆的价格(y)与大豆的产量(x1)及玉米的价格(x2)之间的关系,某大豆厂商随机调查了20个月的月度平均数据,根据有关数据进行回归分析,得到表3-...

作者: tihaiku 人气: - 评论: 0
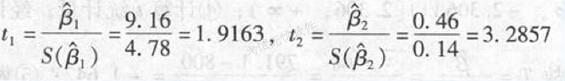
问题 为确定大豆的价格(y)与大豆的产量(x1)及玉米的价格(x2)之间的关系,某大豆厂商随机调查了20个月的月度平均数据,根据有关数据进行回归分析,得到表3-2的数据结果。 据此回答以下四题。 回归系数检验统计量的值分别为()。
选项 A 65.4286;0.09623 B 0.09623;65.4286 C 3.2857;1.9163 D 1.9163;3.2857
答案 D
解析 回归系数检验统计量的值分别为:

相关内容:大豆,价格,产量,玉米,关系,厂商,调查,20个月,月度,数据,根据,有关,分析

猜你喜欢

发表评论
更多 网友评论0 条评论)
暂无评论

Copyright © 2012-2014 题库网 Inc. 保留所有权利。 Powered by tikuer.com

页面耗时0.0342秒, 内存占用1.04 MB, Cache:redis,访问数据库19次