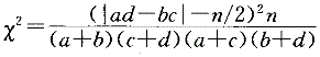
四格表资料,当总例数72>40且T>5时,进行χ检验可选用的计算公式有A、B、C、D、E、

作者: rantiku 人气: - 评论: 0
问题 四格表资料,当总例数72>40且T>5时,进行χ检验可选用的计算公式有
选项 A、 B、 C、 D、 E、
答案 ABDE
解析

猜你喜欢

发表评论
更多 网友评论0 条评论)
暂无评论

访问排行

Copyright © 2012-2014 题库网 Inc. 保留所有权利。 Powered by tikuer.com

页面耗时0.0322秒, 内存占用1.03 MB, Cache:redis,访问数据库20次