某农药厂位于化工园区内,现有A、B两个农药产品生产车间,主要环保工程有危险废物焚烧炉和污水处理站。危险废物焚烧炉处理能力24t/d,焚烧尾气经净化处理后排...

作者: rantiku 人气: - 评论: 0
问题 某农药厂位于化工园区内,现有
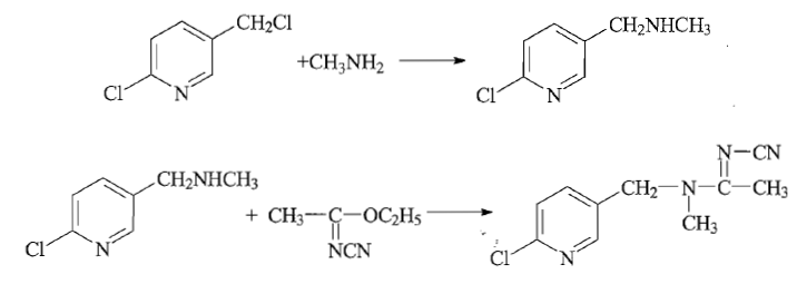
选项 A、B两个农药产品生产车间,主要环保工程有危险废物焚烧炉和污水处理站。危险废物焚烧炉处理能力24t/d,焚烧尾气经净化处理后排放:污水处理站设计处理能力200m3 /d.设计进水水质COD、NH3-N和全盐量分别为3000mg、300mg/L和5000mg/L,现实状况实际处理废水150m3 /d、COD、NH3-N和全盐量实际进水浓度分别为2600mg/L、190mg/L和4600mg/L,废水经处理达到接管标准后由专用管道送至园区污水处理厂,供水,供电,供汽依托园区基础设施= 拟在现有厂区新建农药啶虫脒生产项目,建设内容包括;新建胺化缩合车间。干燥车间,扩建化学品灌区。生产工艺流程见图1主要原料有2-氯-5-氯甲基吡啶、一甲胺和氰基乙酯,主要溶剂油三氣甲烷、乙醇。拟在现有化学品灌区内增设化学品储罐,包括2*80m 3 乙醇常压储罐,10m3 —甲胺压力储罐和2*30m3 三氯甲烷常压储罐,储罐量分别为100t、4t和50t. 项目废水产生情况见表1,拟混合后送现有污水处理站处理。配罝3套工艺废气处理设施,其中,废气G1、G2和G3经深度冷凝+碳纤维吸附处理装罝处理后排放。S1蒸馏残液及废气处理产生的废碳纤维送废渣危险废物焚烧炉焚烧处理。 【问题】 1. 分别指出图1 中废气G1 和废气G6 中的特征污染物。 2. 废气岛的处理工艺是否合理 说明理由。 3. 该项目废水混合后直接送现有污水处理站处理是否可行 说明理由。 4. 为分析该项目固体废物送焚烧炉焚烧的可行性,应调查哪些信息
答案
解析 1. 分别指出图1 中废气也和废气G6 中的特征污染物。 答: G1:三氯甲烷、一甲胺; G6 : 乙醇。 2. 废气G3 的处理工艺是否合理? 说明理由。 答: 合理。 理由是:岛的主要污染物是三氯甲烧。经深度冷凝处理后, 废气温度降到三氯甲烷沸点以下, 三氯甲烷凝结成液滴, 从气体中分离出来,三氯甲烷的浓度会降低, 碳纤维吸附适用于风量大、浓度低的有机气体的处理。故工艺可行。 3. 该项目废水混合后直接送现有污水处理站处理是否可行? 说明理由。 答: 不可行。 理由是: (1) 经计算, 该项目W1 、W2 、W3 三股废水直接混合后,全盐量、COD 、NH3-N 浓度分别为: 50850 mg/L 、1950 mg/L 和228 mg/L。其中全盐量50 85 0 mg/L超过了污水处理站进水的设计浓度5000 mg/L ,因此不能直接进入污水处理站处理。 ( 2 ) 项目三股废水浓度差异大, 直接混合不符合废水 分质分类 处理的要求。 4. 为分析该项目固体废物送焚烧炉焚烧的可行性, 应调查哪些信息? 答: (1 ) 对该项目产生的固体废物进行性质鉴定,判断是否适合进行焚烧处理: ( 2 ) 该项目固体废物产生量及现有焚烧炉是否有足够的剩余容量; (3 ) 该项目固体废物运送至焚烧炉的途径是否安全可靠、经济合理; ( 4 ) 焚烧炉的相关性能指标、尾气净化排放指标是否满足环保要求。 【考点分析】 本题为2015 年环评案例分析考试真题。 1. 分别指出图1 中废气也和废气G 6 中的特征污染物。 《环境影响坪价案例分析》考试大纲中二、项目分析( 1 )分析建设项目施工期和运营期环境影响的因素和途径,识别产污环节、污染因子和污染物特性,核算物耗、水耗、能耗和主要污染物源强。 石化医药行业特征污染物的识别,应关注添加物及其性质,属于考点中的难点。 一甲肢:常温常压下为无色气体: 三氯甲:院:无色透明重质液体,极易挥发,有特殊气味,味甜。 采用2-氯-5-氯甲基口比店、一甲服和氨基乙醋合成院虫眯的反应方程式如下: 2. 废气G 3 的处理工艺是否合理?说明理由。 《环境影响坪价案例分析》考试大纲中六、环境保护措施分析( 1 )分析污染控制措施的技术经济可行性。 碳纤维吸附气态污染物的特点:适用于低浓度有毒有害气体净化。吸附工艺分为变温吸附和变压吸附。低温能够有效降低有机气体的浓度。 3. 该项目废水混合后直接送现有污水处理站处理是否可行?说明理由。 《环境影响坪价案例分析》考试大纲中六、环境保护措施分析( 1 )分析污染控制措施的技术经济可行性。 涉及考点:废水纳入园区污水处理厂需满足其进水水质要求;废水分质分类处理的原则。 4. . 为分析该项目固体废物送焚烧炉焚烧的司行性,应调查哪些信息? 《环境影响评价案例分析》考试大纲中六、环境保护措施分析( 1 )分析污染控制措施的技术经济可行性。 此题类似于项目废水纳入园区污水处理厂处理可行性分析。需关注:污水处理厂进水水质要求、剩余容量、输送管线、污水处理厂排水水质是否达标。

猜你喜欢

发表评论
更多 网友评论0 条评论)
暂无评论

访问排行

Copyright © 2012-2014 题库网 Inc. 保留所有权利。 Powered by tikuer.com

页面耗时0.0276秒, 内存占用1.05 MB, Cache:redis,访问数据库19次