两个排气筒高度分别为24m及30m,距离为50m,排气筒的污染物排放速率分别为0.44kg/h及2.56kg/h,则等效排气筒的排放速率是()。A:4.5...

作者: tihaiku 人气: - 评论: 0
问题 两个排气筒高度分别为24m及30m,距离为50m,排气筒的污染物排放速率分别为0.44kg/h及2.56kg/h,则等效排气筒的排放速率是()。
选项 A:4.56 B:4.2 C:2.12 D:3.0
答案 D
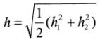
解析 等效排气筒虽然在新的大气导则中没有此方面的要求,但笔者认为仍属技术方法的内容。据《大气污染物综合排放标准》(GB16297—1996),两个排放相同污染物(不论其是否由同一生产工艺过程产生)的排气筒,若其距离小于其几何高度之和,应合并视为一根等效排气筒。若有三根以上的近距离排气筒,且排放同一种污染物时,应以前两根的等效排气筒,依次与第三根、第四根排气筒取等效值,等效排气筒的有关参数按下式公式计算:等效排气筒污染物排放速率计算公式:Q=Q1+Q2式中:Q——等效排气筒某污染物排放速率,kg/h;Q1,Q2——等效排气筒1和排气筒2的某污染物的排放速率,kg/h。等效排气筒高度计算公式:

式中:h——等效排气筒高度,m;h1,h1——排气筒1和排气筒2的高度,m。

相关内容:两个,气筒,高度,距离,污染物,排放,速率,0.44kg,2.56kg,4.5...

发表评论
更多 网友评论0 条评论)
暂无评论

访问排行

Copyright © 2012-2014 题库网 Inc. 保留所有权利。 Powered by tikuer.com

页面耗时0.0312秒, 内存占用1.05 MB, Cache:redis,访问数据库18次