某火力发电厂,在海拔1000m以下,发电机变压器组单元接线如下图所示。设1i、 2i分别为1d、2d点短路时流过DL的短路电流,已知远景最大运行方式下,1...

作者: rantiku 人气: - 评论: 0
问题 某火力发电厂,在海拔1000m以下,发电机变压器组单元接线如下图所示。设1i、 2i分别为1d、2d点短路时流过DL的短路电流,已知远景最大运行方式下,1i的交流分量起始 有效值为36kA不衰减,直流分量衰减时间常数为45ms;2i的交流分量起始有效值为3.86kA,衰减时间常数为720ms,直流分量衰减时间常数为260ms。请解答下列各题(计算题按最接近数值选项)
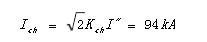
选项 试计算接地开关GD应满足的最小动稳定电流最接近下列哪项数值? (A) 120kA (B) 107kA (C) 104kA (D) 94kA
答案 D
解析 根据《导体和电器选择设计技术规定DL/T5222-2005》附录F.4,式F.4.1-1

猜你喜欢

发表评论
更多 网友评论0 条评论)
暂无评论

访问排行

Copyright © 2012-2014 题库网 Inc. 保留所有权利。 Powered by tikuer.com

页面耗时0.0254秒, 内存占用1.03 MB, Cache:redis,访问数据库20次