某超髙压送电线路,试根据下列给定条件判断。 架空避雷线对导线的保护角变小时,防雷保护的效果()。A.变好;B.变差;C.无明显变化;D.根...

作者: rantiku 人气: - 评论: 0
问题 某超髙压送电线路,试根据下列给定条件判断。 架空避雷线对导线的保护角变小时,防雷保护的效果()。
选项 A.变好; B.变差; C.无明显变化; D.根据地形确定,
答案 A
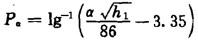
解析 分析过程:根据《交流电气装置的过电压保护和绝缘配合》(DL/T620~1997)中C8,以山区下列导线绕击率为例: (α为避雷线对边导线的保护角) 可知保护角变小时,Pα亦变小,即保护效果变好。

猜你喜欢

发表评论
更多 网友评论0 条评论)
暂无评论

访问排行

Copyright © 2012-2014 题库网 Inc. 保留所有权利。 Powered by tikuer.com

页面耗时0.0260秒, 内存占用1.03 MB, Cache:redis,访问数据库19次