在某两个场地的两个钻孔内的同样深度上进行做标贯试验,用国标《建筑抗震设计规范》(GB 50011 —2010)规定的方法进行砂土液化判别。在其他条件完全相...

作者: rantiku 人气: - 评论: 0
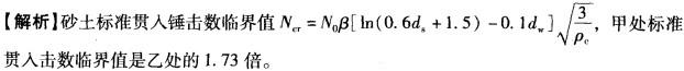
问题 在某两个场地的两个钻孔内的同样深度上进行做标贯试验,用国标《建筑抗震设计规范》(GB 50011 —2010)规定的方法进行砂土液化判别。在其他条件完全相同的情况下,甲场地钻孔标贯处的黏粒含量ρc为1%;乙场地钻孔标贯处的黏粒含量ρc为3%, 则()。 A.甲处的标准贯入击数临界值是乙处的3倍 B.甲处的标准贯入击数临界值是乙处的1.73倍 C.乙处的标准贯入击数临界值是甲处的1.73倍 D.甲、乙两处的标准贯入击数临界值相等
选项
答案 B
解析

猜你喜欢

发表评论
更多 网友评论0 条评论)
暂无评论
错误啦!

错误信息

  • 消息: [程序异常] : MISCONF Redis is configured to save RDB snapshots, but it's currently unable to persist to disk. Commands that may modify the data set are disabled, because this instance is configured to report errors during writes if RDB snapshotting fails (stop-writes-on-bgsave-error option). Please check the Redis logs for details about the RDB error.
  • 文件: /twcms/kongphp/cache/cache_redis.class.php
  • 位置: 第 85 行
    <?php echo 'KongPHP, Road to Jane.'; ?>