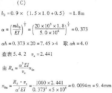
某灌注桩基础,桩入土深度为h=20m,桩径d=1000mm,配筋率为p =0.68%,桩顶锭接,要求水平承载力设计值为H=1000kN,桩侧土的水平抗力系...

作者: rantiku 人气: - 评论: 0
问题 某灌注桩基础,桩入土深度为h=20m,桩径d=1000mm,配筋率为p =0.68%,桩顶锭接,要求水平承载力设计值为H=1000kN,桩侧土的水平抗力系数的比例系数m=20MN/m4,抗弯钢度EI=5x106kN ? m2,按《建筑桩基工程技术规范》(JGJ94 -94),满足水平承载力要求的相应桩顶容许水平位移至少要接近下列哪一个数值?(重要性系数γ0=1,群桩效应综合系数ηt = 1) (A) 7. 4mm (B) 8. 4mm (C) 9. 4mm (D) 10.4mm
选项
答案 C
解析
发表评论
更多 网友评论0 条评论)
暂无评论

访问排行

Copyright © 2012-2014 题库网 Inc. 保留所有权利。 Powered by tikuer.com

页面耗时0.0277秒, 内存占用1.03 MB, Cache:redis,访问数据库14次