作者: rantiku 人气: - 评论: 0
问题
选项
答案 D
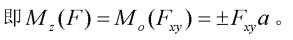
解析 力F对任一z轴的矩定义为力F在垂直z轴的平面上的投影对该平面与z轴交点O的矩。

相关内容:

发表评论
更多 网友评论0 条评论)
暂无评论

访问排行

Copyright © 2012-2014 题库网 Inc. 保留所有权利。 Powered by tikuer.com

页面耗时0.0215秒, 内存占用1 MB, Cache:redis,访问数据库13次