假设地球上新生成的资源的增长速度是一定的,照此推算,地球上的资源可供110亿人生活90年,或者可供90亿人生活210年。为了使人类能够不断繁衍,那么地球最...

作者: rantiku 人气: - 评论: 0
问题 假设地球上新生成的资源的增长速度是一定的,照此推算,地球上的资源可供110亿人生活90年,或者可供90亿人生活210年。为了使人类能够不断繁衍,那么地球最多能养活多少亿人?( ) A. 70 B. 75 C. 80 D. 100
选项
答案 B
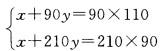
解析 设地球的原始资源可供x亿人生存一年,每年增长的资源可供y亿人生存一年,根据题意可得: 解得y =75,故为了使人类能够不断繁衍,那么地球最多能养活75亿人。
发表评论
更多 网友评论0 条评论)
暂无评论
错误啦!

错误信息

  • 消息: [程序异常] : MISCONF Redis is configured to save RDB snapshots, but it's currently unable to persist to disk. Commands that may modify the data set are disabled, because this instance is configured to report errors during writes if RDB snapshotting fails (stop-writes-on-bgsave-error option). Please check the Redis logs for details about the RDB error.
  • 文件: /twcms/kongphp/cache/cache_redis.class.php
  • 位置: 第 85 行
    <?php echo 'KongPHP, Road to Jane.'; ?>